| Availability: | |
|---|---|
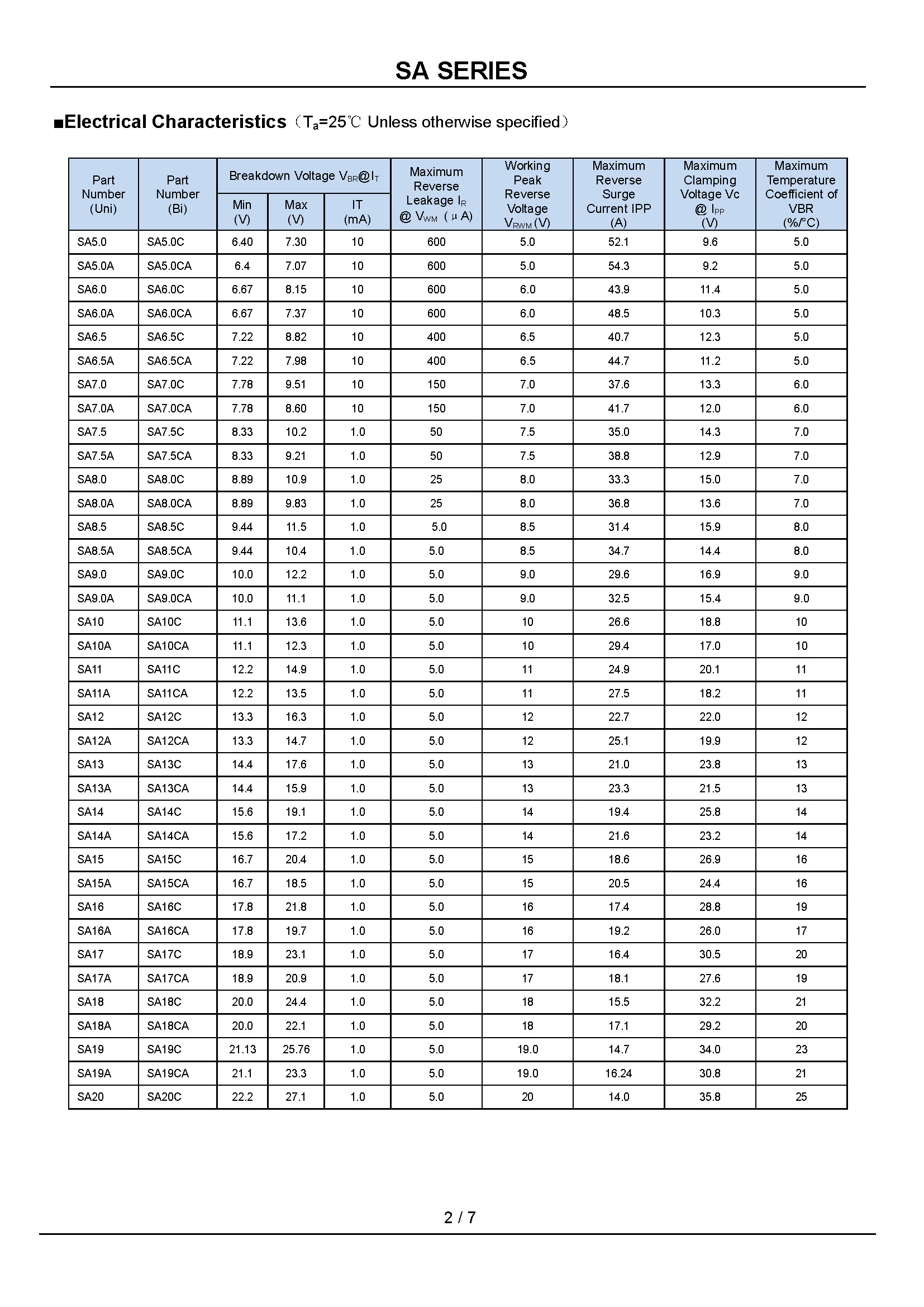
SA130A
Merry
500W Uni Transient Voltage Suppressor Diodes, DO-15, SA130A
Features :
- Excellent clamping capability
- Low dynamic impedance
- Solder dip 275 °C max. 7 s, per JESD 22-B106
Mechanical Date :
- Package: DO-204AC(DO-15)
Molding compound meets UL 94 V-0 flammability rating, RoHS-compliant
- Terminals: Tin plated leads, solderable per J-STD-002 and JESD22-B102
- Polarity: Color band denotes cathode end

 
 Name2
 
 Name1
 
 Name2
 
 Name1
 
 Name2
 
 Name1
 
 Name2
 
 500W Uni Transient Voltage Suppressor Diodes, DO-15, SA130A
Features :
- Excellent clamping capability
- Low dynamic impedance
- Solder dip 275 °C max. 7 s, per JESD 22-B106
Mechanical Date :
- Package: DO-204AC(DO-15)
Molding compound meets UL 94 V-0 flammability rating, RoHS-compliant
- Terminals: Tin plated leads, solderable per J-STD-002 and JESD22-B102
- Polarity: Color band denotes cathode end

 
 Name2
 
 Name1
 
 Name2
 
 Name1
 
 Name2
 
 Name1
 
 Name2
